高土壤电阻率下阴极保护:深井阳极技术解析

在西部管道工程中,地质条件复杂,尤其在高土壤电阻率(通常ρ>3000 Ω·cm)地区,传统浅埋阳极地床面临着接地电阻过高、电流分布不均的严峻挑战。当土壤电阻率超过100 Ω·m时,常规阴极保护系统的输出电流大幅衰减,导致管道保护电位无法达到-0.85V(CSE)的设计要求。如何在这种“贫电”地质中建立稳定、低阻的电流回路,成为设计优化的核心突破口。
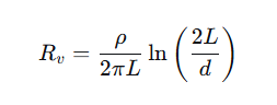
针对这一难题,奥科阴极保护系统采用了深井阳极地床与特种填料相结合的技术路径。深井阳极指阳极体顶部距地表超过15米(通常达到30~100米)的垂直钻孔阳极结构。其核心优势在于:深层土壤往往含水量稳定、电阻率较低,且深井结构能够显著降低接地电阻。以某西部管线为例,设计采用井深80米、活性段30米、直径0.22米的深井阳极方案。根据接地电阻计算公式:

式中,ρ为土壤电阻率(Ω·cm),L为填料段长度(cm),d为阳极段直径(cm)。代入实测数据:ρ=3000 Ω·cm,L=3000 cm,d=22 cm,计算得出理论接地电阻R_v≈1.0 Ω。相比同等条件下浅埋阳极(通常接地电阻在5~10Ω以上),降低了80%以上,从源头上解决了高土壤电阻率环境下的电流输出瓶颈。
为进一步优化界面接触,奥科在深井阳极体中采用了定制化焦炭填充料。这种填料不仅具有良好的导电性(电阻率可降低30%~50%),还通过掺入石膏等保湿成分,维持阳极长期稳定的离子交换环境。在施工过程中,阳极体下放前需严格检查钻孔垂直度(偏差<1°),并采用聚乙烯导气管消除气阻效应,避免氧气积聚导致阳极极化。填料采用边填充边振捣的工艺,确保密实度,从而将阳极与土壤的接触电阻降至最低。
值得注意的是,在高土壤电阻率区域,阳极材料的选择直接影响系统寿命与效率。奥科系统多采用贵金属氧化物阳极(MMO),其允许电流密度高达5~80 A/m²,消耗率极低,设计寿命可达20~50年。结合深井结构,单井保护范围可延伸至80公里,尤其适合西部长输管线的区域性保护。
在实际工程应用中,设计人员常面临“如何计算高土壤电阻率下的阳极地床接地电阻”以及“深井阳极安装的注意事项”等关键问题。前者需结合实测土壤分层数据进行数值模拟,后者则需严格控制阳极体组焊质量与电缆密封工艺。奥科在多个西部项目的实践中验证:通过上述优化,系统整体电位波动可控制在±10mV以内,即使在干旱季节,电位读数误差较传统方案降低约30%。
综上所述,针对高土壤电阻率环境的阴极保护设计,奥科通过深井阳极降低接地电阻、特种填料优化界面接触、贵金属阳极保障长效运行,形成了一套可量化、可验证的技术解决方案,为复杂地质条件下的管道完整性管理提供了有力支撑。
提交
管道干扰治理精准防线:奥科智能排流器解析
奥科微型恒电位仪的阴极保护新思维
智能固态去耦合器:奥科杂散电流治理方案
油气管道奥科恒电位仪中石油西南油气田应用
奥科智能测试桩:加油站阴极保护守护神

投诉建议